Kisi Kisi soal Matematika Kelas 9 K13 Terpopuler - kisi kisi ipa kelas 9, kisi kisi soal sd k13, kisi kisi tema 1 kelas 5, kisi kisi un 2020, kisi kisi osk, kisi kisi ujian sekolah smp, kisi kisi bahasa indonesia un 2019, kisi kisi kelas 5, kisi kisi soal uts sd, kisi kisi pjok kelas 7 doc, kisi kisi evaluasi, kisi kisi kelas 1 semester 1, kisi kisi tes cpns, kisi kisi dan soal bahasa inggris 7 pdf, kisi kisi sbmptn, kisi kisi pas, kisi kisi matematika wajib kelas 10, kisi kisi kelas 6, kisi kisi ips kls 7 semester 1, kisi kisi cat cpns 2019, kisi kisi k3, kisi kisi lks 2019, kisi kisi soal usbn, kisi kisi skb pgsd, kisi kisi un ipa smp, kisi kisi prakarya kelas 11, kisi kisi skb bidan, kisi kisi kelas 6 semester 2, kisi kisi cpns 2020, kisi kisi uambnbk, kisi kisi ipa kelas 6, kisi kisi matematika kelas 8, kisi kisi tiu cpns, kisi kisi tps 2020, kisi kisi kelas 2, kisi kisi materi cpns 2019, kisi kisi pas kls 3 tema 2, kisi kisi instrumen penelitian, kisi kisi twk cpns 2020, kisi kisi pat 8, kisi kisi matematika, kisi kisi baut unbk 2020 smp, kisi kisi soal un smp, kisi kisi usbn sosiologi, kisi kisi un sd, kisi kisi skb kesehatan, kisi kisi bahasa indonesia, kisi kisi twk, kisi kisi bahasa inggris kls 9 k 13, kisi kisi pts kls 3 semester 1, kisi kisi usbn 2020, kisi kisi pjok kelas 7, kisi kisi ips kelas 6, kisi kisi soal ulangan, kisi kisi ukom bidan, kisi kisi skb, kisi kisi utbk, kisi kisi pat, kisi kisi kelas 1, kisi kisi unbk 2020, kisi kisi soal cpns, kisi kisi bahasa inggris kelas 4 semester 2, kisi kisi ujian praktek penjas, kisi kisi tes cpns 2020, kisi kisi osn smp matematika 2020, kisi kisi ipa, kisi kisi try out smp, kisi kisi interview kerja, kisi kisi cpns 2019, kisi kisi utbk 2020, kisi kisi pjok, kisi kisi pas kelas 4 tema 1, kisi kisi in english, kisi kisi sosiologi 2019, kisi kisi soal hots sd, kisi kisi kelas 5 tema 2, kisi kisi tes panwascam, kisi kisi un smp, kisi kisi tes cpns 2019, kisi kisi kimia usbn 2019, kisi kisi bahasa indonesia un 2020, kisi kisi kelas 4 semester 1, kisi kisi ujian praktik, kisi kisi cpns, kisi kisi ujian nasional 2020, kisi kisi olimpiade matematika smp, kisi kisi bahasa indonesia kelas 11 2019, kisi kisi ka, kisi kisi adalah, kisi kisi ujian cpns, kisi kisi matematika kelas 4, kisi kisi pkn kelas 8, kisi kisi prakarya kelas 7, kisi kisi soal matematika kelas 9 k13.

Kisi kisi Soal PAS UAS Bahasa Indonesia Kelas 9 K13 640 kisi kisi soal pas uas bahasa indonesia kelas 9 k13 revisi 2018 2 306

Contoh Format Kisi Kisi Soal K13 Sd Guru Ilmu Sosial 610 contoh format kisi kisi soal k13 sd 372

Kisi Kisi Soal UAS PAS Matematika Kelas 5 Semester 1 K13 791 kisi kisi pas mtk kelas 5 semester 1 415

Kisi Kisi Soal Pai Sd Kelas 6 Semester 1 Professor 824 kisi kisi soal pai sd kelas 6 semester 1 511

Kisi kisi Soal PAS UAS Fisika Kelas 12 K13 Revisi 2018 400 kisi kisi soal pas uas fisika kelas 12 k13 revisi 2018 2 204

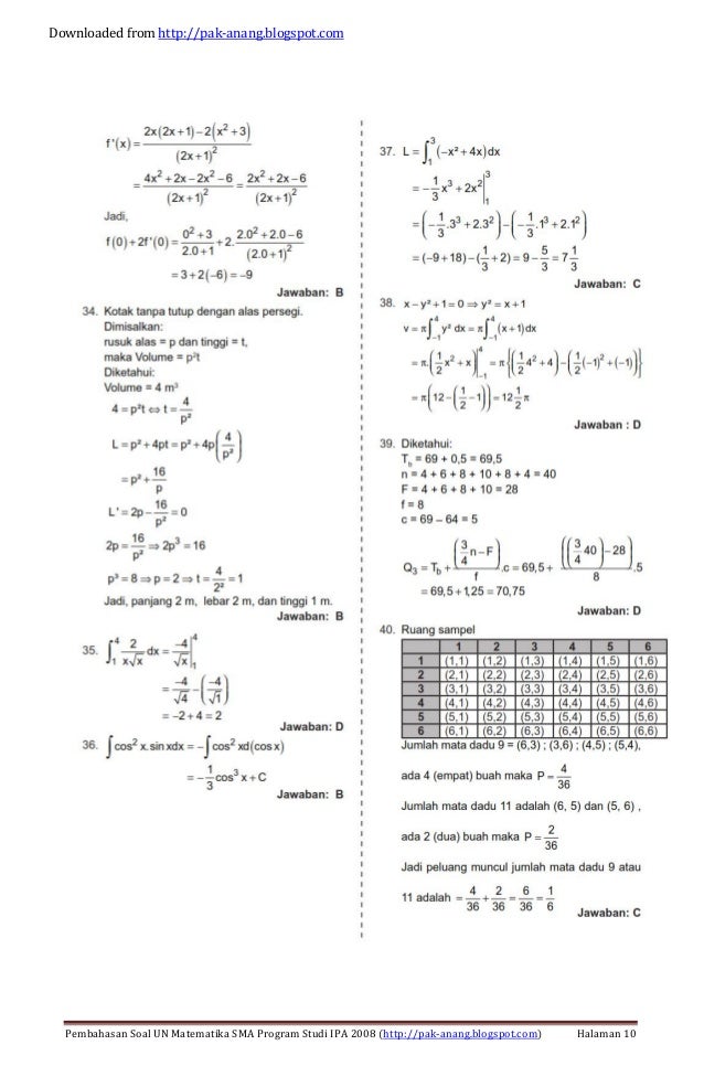
Pembahasan soal un matematika sma program studi ipa 2008 638 pembahasan soal un matematika sma program studi ipa 2008 976

Contoh Soal pliment Beserta Jawabannya Dunia Sekolah ID 675 contoh soal pliment beserta 355
Lulus Dengan Nilai Terbaik Kisi Kisi Ujian Sekolah 1824 contoh soal hots matematika sd kelas 6 1920
Kunci Jawaban Bupena Matematika Kelas 8 Kumpulan Soal 1024 kunci jawaban bupena matematika kelas 8 1024

Contoh Soal Hots Ipa Sd Kelas 5 Pilihan Ganda 638 contoh soal hots ipa sd kelas 5 pilihan 452

Pin Di Microsoft Windows 487 contoh soal pecahan kelas 5 sd semester 620
Soal Ulangan Kelas 1 Tema 6 Lingkungan Bersih Sehat 773 soal ulangan kelas 1 tema 6 lingkungan 511
bedah kisi kisi un 2020 mtk,kisi kisi aaji,kisi kisi cpns 2020,kisi kisi cpns 2021,kisi kisi instrumen penelitian kuantitatif,kisi kisi penilaian keterampilan,kisi kisi penulisan soal kurikulum 2013,kisi kisi soal,kisi kisi soal bahasa inggris terbaru,kisi kisi soal pai sd kelas 6,kisi kisi tes cpns 2020,kisi kisi twk cpns 2020,kisi kisi un 2020,kisi kisi un 2020 sma,kisi kisi un sd 2020,kisi kisi utbk 2020,
No comments:
Post a Comment